SI and CI - Part 1




Видео: SI and CI - Part 1



Автор на RuTube: Astrophysics Ahead

Видео опубликовано: 04.02.2025

Количество просмотров на RuTube 1

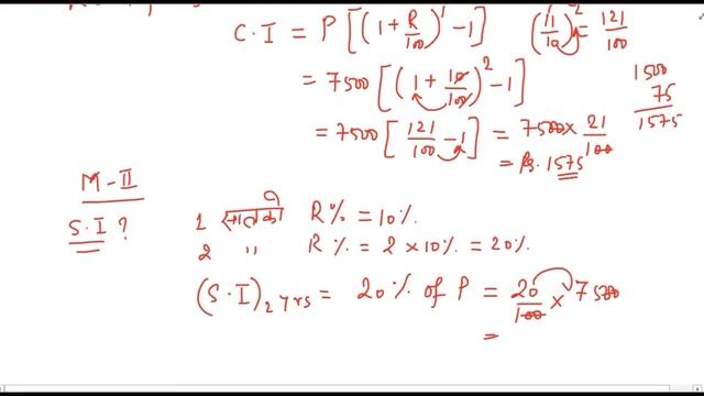
This video is part 1 of SI and CI. It covers the fundamental concepts few important formulae and few beginners examples solved in multiple ways. Watch the video till the end it will certainly boost your...






QR-код с URL-адресом:

Ссылка на страницу с видео:

HTML-ссылка на страницу с видео:

Код для вставки плеера:

фигурка Джокер

Фигурка Джокер

Комментарии к этому видео:

Данную страницу никто не комментировал. Вы можете стать первым.