Волькенштейн 1.27




Видео: Волькенштейн 1.27



Автор на RuTube: Геометрия и музыка

Видео опубликовано: 28.12.2023

Количество просмотров на RuTube 29

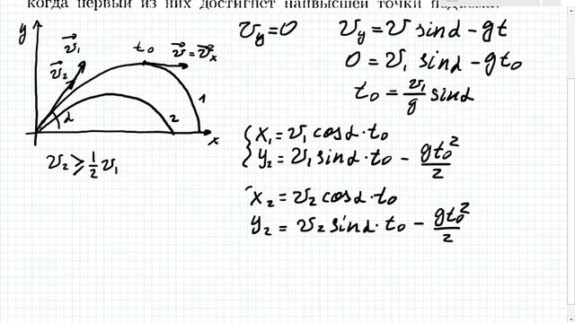
Из одной точки в один и тот же момент времени под углом альфа к горизонту бросают два камня со скоростями v1 и v2 2v2 больше или равно v1. Какое расстояние будет между камнями в тот момент когда первый ...




Похожее видео

Смотрите так же: Новые видео #



QR-код с URL-адресом:

Ссылка на страницу с видео:

HTML-ссылка на страницу с видео:

Код для вставки плеера:

фигурка Джокер

Фигурка Джокер

Комментарии к этому видео:

Данную страницу никто не комментировал. Вы можете стать первым.