H9O
.ru
Новые серии
Найти
49341 - видео
⌚ 29.03.2016
ДОМ-2 После заката 4341 день Ночной эфир (29.03.2016)
⌚ 05.03.2026
4321
⌚ 29.03.2016
ДОМ-2 Город любви 4341 день Вечерний эфир (29.03.2016)
⌚ 29.03.2016
ДОМ-2 Lite 4341 день Дневной эфир (29.03.2016)
⌚ 28.08.2023
успешен ремонт на ц 4341
⌚ 10.10.2024
ODEON LIGHT COLOMBELLA 4341/3WLA 4341/3WL 4310/3WL 4310/3WLA
⌚ 16.04.2026
Subaru Outback «АВТОРУСЬ автомобили с пробегом» 4341
⌚ 20.12.2023
Актрос мп3 робот ошибка Fr 4341 , АБС
⌚ 01.03.2026
432 Гц. Чистый звук
⌚ 11.01.2026
IMG_4341
⌚ 03.09.2025
IMG_4341
⌚ 08.07.2023
4341
⌚ 19.09.2025
43418
⌚ 02.04.2026
43219.mp4
⌚ 25.10.2025
432 Гц + 528 Гц + 741 Гц. САМЫЙ ГЛУБОКИЙ целебный сон. Регенерация всего тела, снятие стресса
⌚ 15.09.2025
Магнитола Canbox PRO-Line 4341 для Mercedes-Benz GL (X166) на ANDROID
⌚ 30.06.2025
5c797aaa-22b5-4341-bda3-3f1121269e04
⌚ 05.09.2024
Набор YATO для ремонта резьбы М6-М10, HSS 4341, 88 предм, YT-1769
⌚ 04.08.2025
432 Гц + 963 Гц + 528 Гц Исцеление повреждений в теле и духе МОЩНАЯ ИСЦЕЛЯЮЩАЯ ЧАСТОТА
⌚ 27.08.2023
Качественная китайская быстрорежущая сталь 4341 для мастеров (ножи, стамески, резаки, броненакладки
⌚ 04.02.2025
Branko Sound Presents JBL 4341
⌚ 19.02.2024
HP Probook 4340s Or 4341s Disassembly | Step By Step Cara Bongkar Laptop Hp Probook 4340s Atau 4341
⌚ 17.07.2025
432 Альфа волны для исцеления души и тела Музыка для сна Релакс Целебная
⌚ 21.03.2024
Chinese Characters Strokes 漢字筆順 SF System From 4341-4360
⌚ 19.09.2023
Сокровища пиратов 4341-4360 уровень 218 эпизод
⌚ 21.04.2026
21-04-2026 пошла распаковка чек
⌚ 09.08.2023
Zanussi DA 4341
⌚ 20.02.2024
Sansui B/C 2301 - JBL 4341 Studio Monitor
⌚ 08.11.2025
431.mp4
⌚ 14.07.2025
431
⌚ 03.01.2025
IMG_4341
⌚ 12.08.2023
Bộ 6 Mũi Khoan Taro M3-M10 Thép HSS 4341 Phủ Titanium M3 M4 M5 M6 M8 M10
⌚ 04.09.2024
74714561253__ECA4CA24-1D0F-4341-92DF-B69BBF3ACE50
⌚ 02.02.2024
Philips 4341/50 Lattego
⌚ 29.07.2023
Автобус Минска МАЗ-103.476,гос.№АК 4341-7,марш.115э (13.06.2020)
⌚ 17.09.2024
Набор YATO для ремонта резьбы М6-М10, HSS 4341, 88 предм, YT-1769
⌚ 15.08.2023
Набор YATO для ремонта резьбы М6-М10, HSS 4341, 88 предм, YT-1769
⌚ 07.01.2026
РЕЙДИМ БАЗУ ИГРОКА Player8515 4341.mp4
⌚ 23.01.2025
Тепловоз ЧМЭ3-4341 с грузовыми вагонами на манёвровом работе
⌚ 05.05.2024
Маневровый тепловоз ЧМЭ3-4341 (ТЧЭ-2) с грузовым поездом.
⌚ 15.03.2024
HomeScapes Дворецкий #527 (уровни 4328-4341) Завершение последнего этапа Ледяного Сезона!
⌚ 18.09.2024
Сильнейшая система убийства драконов. (Аудиокнига, ранобэ). Глава 4341-4350.
⌚ 22.03.2021
7416cc7d-b1b8-4341-b379-5e34f36e0fe7.mp4
⌚ 21.07.2025
#4341 /21-07-25 г./ Поездка в Питер, ч.6...
⌚ 27.12.2025
Магнитола Canbox PRO-Line 4341 для Audi A6 (С7) на ANDROID
⌚ 25.08.2023
Обзор набора бит для выкручивания сломанных болтов 4341
⌚ 03.04.2024
Заезд тепловоза ЧМЭ3-4341 с грузовым поездом на подъездной путь
⌚ 22.11.2023
Маневровый тепловоз ЧМЭ3-4341 (ТЧЭ-2) следует резервом.
⌚ 27.02.2026
Copy_838E0948-6CD4-4341-A20A-8A74CB56EF76
⌚ 08.05.2024
4321
⌚ 07.04.2025
434
⌚ 15.09.2024
431
⌚ 28.12.2023
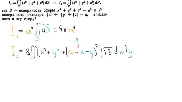
Демидович №4341: разность интегралов
⌚ 20.12.2023
[Не моё видео] Тепловоз ЧМЭ3-4341 с одним вагоном
⌚ 27.08.2024
Очки Ray Ban RB 4341 601S 5j
⌚ 26.08.2023
Stainless Steel HSS 4341 Twist Drill Bit 2-16mm
⌚ 11.08.2024
4343
⌚ 11.12.2023
Встреча тепловозов ЧМЭ3-4341 с грузовым поездом и ЧМЭ3-6157 резервом, ст. Железнодорожная.
⌚ 13.11.2023
432 Гц МЕДИТАЦИЯ НА СЕБЕ ЛЮБОВЬ Очистите всю негативную энергию 》Исцеляющая музыка любви к себе
⌚ 04.03.2025
76277020803__2D42336E-2419-4341-A081-30280E5CB9CE
⌚ 29.08.2023
Набор для восстановления резьбы М5-М12 YATO, 131 шт, HSS 4341, YT-1763
⌚ 29.09.2024
Пассажирский лифт V=0,71 м-с, Q=320 кг (4341)
⌚ 30.01.2026
434.mp4
⌚ 30.12.2024
Частота исцеления 432 Гц | Исцеляйте тело, разум и Дух | Устраняйте всю негативную энергию
⌚ 15.11.2023
“4:30“ ~speed Song~
⌚ 27.05.2025
4321
⌚ 12.11.2025
4321
⌚ 31.07.2023
#431.mp4
⌚ 14.08.2023
#434.mp4
⌚ 03.12.2025
431.mp4
⌚ 30.12.2024
333 песня.mp4
⌚ 21.04.2026
21-04-2026
⌚ 20.02.2023
43
⌚ 21.04.2026
413.mp4
⌚ 15.10.2023
Т-34.mp4
⌚ 21.04.2026
415.mp4
⌚ 23.08.2024
Музыка Techno
⌚ 23.08.2024
Муви 43
⌚ 20.04.2026
0420
⌚ 31.07.2025
396 Гц + 285 Гц + 432 Гц + 963 Гц + 528 Гц. Самое глубокое исцеление. Устранение повреждений в теле
⌚ 10.01.2025
Моцарт для малышей в частоте 432 Гц — классическая музыка для улучшения памяти и когнитивных навыков
⌚ 20.04.2026
14345391049303
⌚ 24.11.2024
432гц частота любви
⌚ 06.06.2024
Четыре жены 2: Жена-локомотив, юла, модель, волшебница
⌚ 20.03.2023
Видео №434120
⌚ 25.06.2025
43414213
⌚ 20.03.2023
Видео №434100
⌚ 31.05.2025
Объект 430У | Просто хороший бой на карте Штиль
⌚ 20.04.2026
Как под горкой под горой
⌚ 29.03.2025
43 16
⌚ 06.12.2018
Смешарики. -41С
⌚ 02.11.2023
Все на четырех
⌚ 13.11.2023
Музыка для глубокого сна ♪ 432 Гц ♪ Медитация на сон
⌚ 25.10.2025
Купил 2141, который простоял в гараже 26 лет! Оживил и поехал, но...
⌚ 11.10.2025
43
⌚ 01.09.2025
Четыре часа классической музыки для сна.
⌚ 31.01.2025
Зил 4333
⌚ 24.09.2024
Москвич-410н 4х4 поездка по бездорожью.
⌚ 01.10.2025
ЧЕТЫРКА песня
⌚ 05.03.2023
ВОССТАНОВЛЕНИЕ НЕРВНОЙ СИСТЕМЫ - Нежная музыка, успокаивает нервную систему и радует душу
Сегодня смотрят:
49341 код города
49341
Код города 49341