H9O
.ru
Новые серии
Найти
Dirac - видео
⌚ 28.10.2023
DIRAC LIVE GUIDE: ONKYO TX-RZ50 I DIGITAL ROOM CORRECTION TIPS I 5.1.4 Setup
⌚ 08.02.2024
Onkyo TX RZ50 Setup And First Impressions. DIRAC App, Dolby Atmos, DTS:X 3D Audio Opinions.
⌚ 30.08.2024
Рум-коррекция может исправить комнату? Как работает Dirac
⌚ 24.10.2023
Настройка Dirac Live
⌚ 04.02.2024
DIRAC LIVE Room Correction GUIDE | Taking MEASUREMENTS, Adding A HOUSE CURVE (PART 2 Of 2)
⌚ 29.10.2023
Dirac Live For Studio Setup Instructions
⌚ 15.04.2024
Dirac Live Tutorial - AudioControl Home
⌚ 18.10.2023
Что такое Dirac Live?
⌚ 24.10.2023
DIRAC LIVE Review | The BEST ROOM CORRECTION Software?
⌚ 03.05.2025
DIRAC , обзор на андроиде. Dirac .
⌚ 18.02.2024
UMIK-1 MiniDSP + DIRACLIVE I Next Level DIRAC LIVE Room Correction
⌚ 14.04.2024
Dirac Live | Volume Calibration Fix
⌚ 01.02.2025
DIRAC Live BASS CONTROL For Denon/Marantz - Setup - Basic Tutorial & First Impression
⌚ 01.02.2025
Onkyo TX-RZ50 萬元級影音擴音機|Dirac Live 房間修正|細節多又爆得|IMAX Enhanced THX 雙認證|Dolby Vision 4K/120 直通|艾域實試|CC字
⌚ 15.04.2024
Emotiva Dirac Live 3 Room Correction Tutorial Redux
⌚ 17.12.2024
Как Dirac сломает ваши колонки
⌚ 14.04.2024
Dirac Live Bass Control Q&A With Mathias Johansson, Chief Product Officer At Dirac
⌚ 15.04.2024
Dirac Live 3 | Super Einfach & Effektiv!
⌚ 08.02.2024
Dirac Live 5.1 полный диапазон
⌚ 16.03.2021
DIRT 5 - ЭТО ПРОСТО ШЕДЕВР! ПЕРВЫЕ ВПЕЧАТЛЕНИЯ!
⌚ 19.10.2024
Part 3 - Denon AVR-X6800H - Inhouse Review Dirac Live Bass Control Calibration
⌚ 30.08.2024
Системы автокалибровки звука ДК / Как работают ARC, Dirac Live, Roomperfect, Trinnov Optimizer
⌚ 31.05.2024
David Deutsch Dirac Medal Speech
⌚ 18.10.2023
Microtech Dirac Review
⌚ 24.10.2023
BEGINNERS GUIDE: Dirac Live Room Correction For HiFi
⌚ 24.10.2023
Dirac Live Initial Setup Guide
⌚ 17.01.2024
Инструмент Dirac Bass Control и интеграция в процессоре Storm Audio
⌚ 28.10.2023
Dirac's Belt Trick Demonstrated With Long Hair
⌚ 21.10.2023
Best Of High End I Dirac Live Using Smartphone
⌚ 28.09.2023
Dirac's Delta Function
⌚ 07.08.2023
NAD C658 - сетевой проигрыватель с BluOS и DIRAC
⌚ 13.04.2024
Pioneer VSX-LX505 - 9.2 Kanal Elite A/V Receiver Mit Dolby Atmos, DTS:X, IMAX Enhanced Und Dirac
⌚ 06.02.2024
All You Need To Know About DIRAC Live Digital Room Correction Suite
⌚ 25.10.2023
StormAudio - How To Perform A Dirac Live ART Calibration
⌚ 14.04.2024
Dirac Live UMIK1 Correction Video For The Importance Of Mic Calibration Files MiniDSP
⌚ 18.04.2024
FIRST LOOK! Marantz CINEMA 30 Flagship Home Theater Receiver | 11.4 Channels W/ Dirac Live Support!
⌚ 03.09.2024
ИДЕАЛЬНЫЙ БАС в домашнем кинотеатре / Инновации от Dirac и Trinnov 2023
⌚ 11.08.2023
Microtech Dirac Delta - шикарнейшая фронталка !
⌚ 01.02.2025
ARCAM – Dirac Live
⌚ 30.06.2024
Dirac Live Room Correction On The NAD T758v3 AV-receiver
⌚ 14.04.2024
HOW TO: Dirac Live Room Calibration
⌚ 19.06.2024
Андрей Юрьевич Царегородцев - Платформа DIRAC как основа европейской GRID-инфраструктуры
⌚ 15.08.2023
ИДЕАЛЬНЫЙ БАС в домашнем кинотеатре / Инновации от Dirac и Trinnov 2023
⌚ 28.09.2023
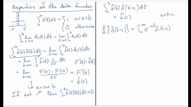
Properties Of The (Dirac) Delta Function
⌚ 19.02.2024
Коррекция акустики комнаты на примере Напольных Kef R11 (Dirac Live Room Correction)
⌚ 27.08.2024
9. Dirac's Bra And Ket Notation R2NMWEsNcTs
⌚ 30.09.2024
MiniDSP Room Correction With Dirac Live Plugin
⌚ 16.10.2025
NAD C658 - сетевой проигрыватель с BluOS и DIRAC
⌚ 24.10.2023
Microtech Dirac Delta OTF Automatic Knife - Overview And Review
⌚ 18.02.2024
McIntosh New 8K AV Receiver With DIRAC MHT300
⌚ 01.02.2025
Dirac Live Bass Control On Denon A1H And 4subs.
⌚ 24.10.2023
Microtech Dirac Delta | Dirac OTF Knife Review | Best Automatic On Market?
⌚ 20.10.2023
Dirac Live Overview/Review (feat. MiniDSP)
⌚ 11.12.2024
Dynaudio Focus | Dirac Live Step-by-step Setup Guide
⌚ 04.02.2025
A Mindenes Sztereó - Arcam SA30 Erősítő Teszt - Tidal Connect, Spotify, Chromecast, Dirac Live, HDM
⌚ 27.10.2023
Бифуркационная диаграмма. Dirac Control Service
⌚ 11.11.2024
Dirac Delta Function
⌚ 01.02.2025
Dirac Live On NAD :: How To Setup For Room Correction
⌚ 11.11.2024
Dirac Delta Function PYQ Of JEST EXAM (2012-2023) Of Mathematical Physics
⌚ 11.09.2023
Derivative Of Heaviside Function And The Dirac Delta
⌚ 01.02.2025
Onkyo TX-RZ50 & TX-NR7100 Med Dirac Live
⌚ 11.09.2023
*** Dirac Delta Funktion
⌚ 19.06.2024
MICROTECH COMBAT TROODON And DIRAC DELTA Review/overview!
⌚ 19.02.2024
MiniDSP Room Correction With Dirac Live Plugin
⌚ 03.12.2023
FIX YOUR ROOM! Dirac Live Room Correction!
⌚ 14.01.2024
Системы автокалибровки звука ДК / Как работают ARC, Dirac Live, Roomperfect, Trinnov Optimizer
⌚ 20.02.2024
Monitor Audio Bronze 7 2 2 Unboxing, System Setup & DIRAC Calibration W/Demo
⌚ 26.01.2025
Dirac's Equation In COVARIANT FORM | Gamma Matrices | NNN | Quantum Mechanics
⌚ 12.11.2024
Bloch, Landau, And Dirac: Hofstadter's Butterfly In Graphene ▸ By Philip Kim
⌚ 22.01.2024
Heco Celan Revolution 3 + Cambridge Audio CXA81 + CANTON Power Sub 12 + DIRAC
⌚ 12.03.2025
НОЖ MICROTECH 227-10 DIRAC DELTA STONEWASH USA
⌚ 03.12.2023
MiniDSP SHD Studio DIRAC Room Correction Processor/streamer
⌚ 11.12.2024
NEW STANDARD FOR SPEAKERS Dynaudio Focus 50 REVIEW Dirac Live
⌚ 19.04.2024
HI3 SEA - Dirac Sea Red Lotus 55D HoV Vs PX AK BR (Fog Weather)
⌚ 08.02.2024
Arcam SA30 Streaming Amplifier With DIRAC And MQA
⌚ 25.08.2024
L4.4 Dirac Equation For The Electron And Hydrogen Hamiltonian
⌚ 25.10.2023
How To Fix Dirac Control Service Has Stopped Problem Redmi | Xiaomi
⌚ 16.12.2024
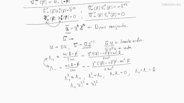
Арутюнов Г.Э. - Принципы КТП - 13. Solution Of The Dirac Equation
⌚ 18.11.2024
Арутюнов Г.Э. - Принципы КТП - 9. Yukawa Force. Dirac Equation
⌚ 24.05.2025
Арутюнов Г.Э. - Modern QFT - 1. Quantization Of The Dirac Field
⌚ 21.01.2025
Martin Logan ESL And NAD 399 / Dirac Live Review
⌚ 28.10.2023
НОЖ MICROTECH 227-3DLCTSH DIRAC DELTA SHADOW USA
⌚ 26.10.2023
Hawk Of The Fog Dismantles RPC In Dirac Sea (868 Points 136 Disturbance)
⌚ 25.12.2025
Попеленский Ф.Ю. - Index Theorem And Characteristic Classes - 12. Geometric Dirac Operator
⌚ 20.04.2026
Dirt Rally #2
⌚ 03.12.2023
NAD C658 BluOS Streaming DAC With DIRAC And MQA
⌚ 27.09.2023
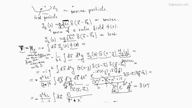
The Fourier Transform And The Dirac Delta Function
⌚ 07.02.2025
Bra - Ket Notation | Dirac Notation | Kets And Bras Vector | Universe Of Physics
⌚ 31.08.2022
Обзор TWS наушников Sudio E2 | Объемный звук Dirac Virtuo - что это такое?
⌚ 01.02.2025
Denon AVR-X6800H Xpress Review 15+ Dirac Live Calibration Pro Tips
⌚ 03.12.2023
MiniDSP FLEX | Is This The Most Powerful DAC | HD Bluetooth | DIRAC | Home Theater Gurus
⌚ 04.09.2024
Калибровка AV процессора NAD M17 V2 / Как происходит калибровка домашнего кинозала в Dirac Live
⌚ 03.12.2023
NAD C3050LE Streaming Amplifier With BluOS, MQA And DIRAC
⌚ 17.04.2024
NAD Masters M66 BluOS Streaming DAC-Preamplifier - 4 Independent Sub Outs & Dirac Live Bass Control
⌚ 30.01.2025
Unboxing Receiver NAD T 758 V3i High End - Dolby Atmos + BluOS + DIRAC | Home Theater
⌚ 14.03.2022
DiRT 2
⌚ 30.01.2025
Marantz Cinema 50 8K Dolby Atmos AV Receiver 9.4 Channel Supports Auro 3D IMAX Enhanced Dirac Live
⌚ 04.02.2025
*NEW* DENON AVR-X3800H 9.4 8K AVR WITH Dirac Option! - Unboxing!
⌚ 13.11.2024
Dirge
⌚ 29.10.2024
Грязь / The Dirt
Сегодня смотрят:
Dirac live
Diraccoonr
Dirac control service
L. infeld dirac's equations in the general relativity theory
Huawei matebook e windows 11 i5 1130g7 16 512 гб dirac w5651t