H9O
.ru
Новые серии
Найти
6842 - видео
⌚ 07.01.2026
ЖИЛИЩНАЯ ЛОТЕРЕЯ 684 ТИРАЖ от 7 января 2026 года. Проверить тиражный билет СТОЛОТО.
⌚ 10.01.2026
#смешныевидео -684
⌚ 30.05.2024
Ван-Пис 684 серия (аниме-сериал, 1999)
⌚ 02.04.2026
684.mp4
⌚ 07.03.2026
68_2
⌚ 24.01.2025
Ичи қора овсин... Iqror, 684 - Son
⌚ 04.02.2026
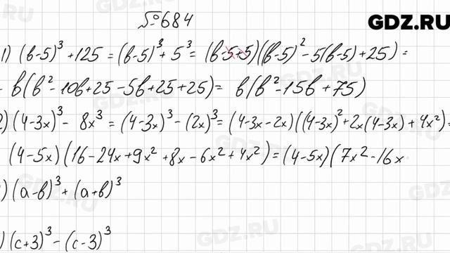
алгебра 7 класс номер 684
⌚ 26.05.2022
Наркомания из Тик тока Гача лайф ~{Гача клуб}~ #684
⌚ 14.04.2026
Полицейский вестник 684
⌚ 26.10.2025
Игра Слова ответы на 681, 682, 683, 684, 685, 686, 687, 688, 689, 690 уровни
⌚ 02.04.2026
684. Укроблогер "Сумской". Начало.
⌚ 12.03.2026
6862.mp4
⌚ 16.03.2021
Военная тайна с Игорем Прокопенко. Выпуск 684
⌚ 14.03.2025
забавные и смешные кошки и собаки 684
⌚ 24.02.2026
684.mp4
⌚ 20.08.2025
684.mp4
⌚ 03.05.2025
Homescapes Walkthrough Level 684 \ Прохождение Homescapes уровень 684
⌚ 13.04.2026
ЭТО ВИДЕО НАБРАЛО 1 МЛН ПРОСМОТРОВ! Трактора 1950-ых! Как новые! #684
⌚ 14.01.2026
#смешныевидео -684
⌚ 05.05.2022
684 Киста влагалища
⌚ 07.01.2026
ЖИЛИЩНАЯ ЛОТЕРЕЯ ТИРАЖ 684 Проверить билет Жилищная Лотерея 684 . Жилищная лотпрея 684
⌚ 21.04.2026
МОНТАЖ ПОУЛИРИТАНОВЫХ ПЛИНТУСОВ . тел. 8 989 684 7924 РЕМОНТ КВАРТИР и ВАННЫХ КОМНАТ.
⌚ 14.02.2026
Предпусковой ,подогреватель. Север Макс 5000N 2
⌚ 24.03.2025
684 В Питер под запрещающие знаки
⌚ 21.02.2025
Требования 683-П/684-П и их реализация
⌚ 01.05.2025
Электровоз ВЛ80С-684/683Б
⌚ 13.02.2026
67
⌚ 02.05.2025
684 Аудиолекция Пространственные битвы
⌚ 08.02.2024
B&W 684 Versus B&W 684 S2
⌚ 15.11.2023
Математика 6-сынып 670, 671, 672, 673, 674, 675, 676, 677, 678, 679, 680, 681, 682, 683, 684 есеп
⌚ 16.02.2025
FONAREV - Digital Emotions # 684
⌚ 17.12.2023
№ 684 - Алгебра 7 класс Мерзляк
⌚ 25.09.2024
Самара городок № 684 Еще один блиц по 404
⌚ 28.12.2023
Научи меня довольным #684
⌚ 05.06.2025
Best Cube # 684 | Memes Compilation! | Like A Boss! 😂😅😍
⌚ 27.02.2026
Рут_487-499, 679-684
⌚ 28.03.2026
6876.mp4
⌚ 17.07.2019
СВ 684 серия
⌚ 26.05.2025
Барахолка нашего городка 😐 #684
⌚ 10.05.2025
Dota 2 / ПРОХОЖДЕНИЕ, ЧАСТЬ 684!(2)
⌚ 07.02.2025
Review Bowers & Wilkins 684 S2
⌚ 15.09.2023
684 Живописные фантазии
⌚ 30.06.2024
Game Words Of Wonders Level 681, 682, 683, 684, 685
⌚ 15.05.2025
Бардак в кормушке ! Всё готово ! Мой новый прицеп ! Загружайся и езжай ! ХУТОР В ЛЕСУ №684
⌚ 04.02.2025
684 уровень Планета Самоцветов
⌚ 02.02.2025
Bowers & Wilkins 684
⌚ 24.08.2023
ВАН ПИС ➤ 684-689 СЕРИЮ ➤ Дресс Роза
⌚ 21.03.2026
Ori Uplift - Uplifting Only 684 (19 March 2026)
⌚ 13.02.2026
67
⌚ 14.02.2025
Нарезка со стрима #684 | Minecraft
⌚ 02.05.2024
Алгебра. 7 класс. Номера 684 и 688. Объяснение.
⌚ 01.05.2024
Homescapes Level 684 - How To Complete Level 684 On Homescapes
⌚ 12.12.2025
68440.mp4
⌚ 21.06.2024
Математика 5 сынып!!! 676 677 678 679 680 681 682 683 684 686 #матем #математика #алгебра
⌚ 02.03.2025
Задача 684 Атанасян Геометрия 7-9 2024
⌚ 22.11.2025
684
⌚ 16.11.2024
Троллейбус Красноярска Зиу-684 КР
⌚ 25.09.2023
Санта Барбара 684
⌚ 20.08.2025
682.mp4
⌚ 21.10.2025
COUB Compilation _ нарезка COUB -684
⌚ 17.08.2025
Стрим Играем ! Отдыхаем !!! № 684
⌚ 05.02.2026
Тайны Русского языка. Видео 684.
⌚ 16.03.2026
686.mp4
⌚ 20.08.2025
№ 684
⌚ 28.12.2023
684) Слово от Господа.
⌚ 08.02.2024
Bowers Wilkins 684
⌚ 10.03.2026
68
⌚ 25.03.2024
Выбирашки #684
⌚ 13.06.2024
أليف الحلقة 684 | دوبلاج عربي
⌚ 11.08.2025
*684.Быстрая коррекция коротких ноготков.Сливочный гель.Быстрый дизайн.
⌚ 12.01.2025
G-684 Андрей Бандера (Заплутала моя душа)
⌚ 01.01.2022
Новый Год 2022! С кем начнёшь, таким он и будет! | ИЗОЛЕНТА Live # 684
⌚ 13.08.2025
68к
⌚ 08.04.2025
ДРУЖИМ ДЕРЕВО И ЖД ПОДЪЕМ ВМЕСТЕ #SATISFACTORY 684
⌚ 17.04.2026
ДА сколько здесь РЫБЫ в этой ледяной РЕЧКЕ! Рыбалка весной на спиннинг.
⌚ 08.08.2023
Великий воин Леви. Главы 680-684
⌚ 09.09.2024
Неадекватные водители и хамы на дороге #684! Подборка на видеорегистратор!
⌚ 02.09.2025
684. Всенародная молитва. 5 сентября. Исаия 1:1, 2
⌚ 30.10.2023
Exponential 684 Термоядерный реактор Mekanism
⌚ 13.02.2026
67
⌚ 01.05.2025
Bandicam 2025-05-01 20-43-37-684
⌚ 30.09.2024
知否知否应是绿肥红瘦【未删减】68(赵丽颖、冯绍峰、朱一龙 领衔主演)
⌚ 26.02.2024
68
⌚ 24.02.2026
685.mp4
⌚ 31.08.2023
Безтопливный генератор СССР Инерциод КПД 684%
⌚ 15.10.2024
видео из ютуба 684
⌚ 27.01.2024
【激安! 簡単!】ヴィッツのワイパーゴム交換は、わずか?680円!素人でもできる!
⌚ 24.03.2025
68
⌚ 05.03.2023
М-11 Нева (524 → 684 км) декабрь 2022
⌚ 22.02.2025
Bandicam 2020-05-10 18-46-01-684
⌚ 26.11.2024
🛑СТРИМ🛑🌟SnowRunner🌟➤ЗАКРЫТА - Дороги горного короля ➤ Часть - 9 (684) ➤
⌚ 25.02.2025
"Найди отличие" / "Spot The Difference" _ выпуск № 684
⌚ 25.07.2025
Рыбалка 2024
⌚ 01.03.2026
688.mp4
⌚ 29.11.2024
Аниме под музыку 684
⌚ 26.10.2024
Догтренинг 684. Вундердог Шервуд - уникальный джек-рассел терьер.
⌚ 21.02.2025
Положение Банка 684-П и ГОСТ Р 57580 требования регулятора для профучастников рынка ценных бумаг
⌚ 27.12.2024
Как стирать жалюзи плиссе? 8-962-684-11-22, Санкт-Петербург, ЭлитПласт
Сегодня смотрят:
68429 trinity goamazons.html
68428 c757 turksimmer.html
Головка 68421
Даташит 6842 т
Fc 6842