H9O
.ru
Новые серии
Найти
1094 - видео
⌚ 28.12.2023
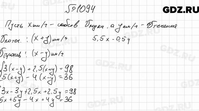
Задание № 1094 - Геометрия 9 класс (Атанасян)
⌚ 04.06.2024
Ван-Пис 1094 серия (аниме-сериал, 1999)
⌚ 03.03.2026
#смешныевидео -1094
⌚ 05.03.2026
1094 А Что Это было? Хейтерское обострение.Берега Попутали! Я её Оттёрла?
⌚ 27.02.2026
1094 Жизнь семьи на Кубани/Обрезка деревьев/Испекла тёртый пирог с вареньем
⌚ 12.04.2026
1094.mp4
⌚ 20.08.2025
10994.mp4
⌚ 29.01.2025
10915.mp4
⌚ 28.12.2023
№ 1094 - Геометрия 7-9 класс Атанасян
⌚ 01.09.2023
Хотите купить стойку для болгарки? Стойка с протягом Sturm! 1094-AG-125
⌚ 18.08.2019
Дом-2. Остров любви, 1 сезон, 1094 серия (18.08.2019)
⌚ 26.08.2024
№ 1094 - Алгебра 7 класс Мерзляк
⌚ 11.01.2024
№ 1094- Алгебра 7 класс Макарычев
⌚ 23.06.2025
Людмила Лыновская роман "Западня" Все части .https://studio.rutube.ru/playlist/1094
⌚ 06.04.2026
Мир Домовят 1094 уровень три в ряд. Сказочная игра для всей семьи)
⌚ 29.09.2025
1094.mp4
⌚ 17.11.2025
99
⌚ 28.12.2023
Номер 1094 Геометрия 7 9 класс Атанасян
⌚ 22.08.2024
1094. ТЕСТО на ПЕЛЬМЕНИ и ВАРЕНИКИ.
⌚ 24.06.2025
IMG_1094
⌚ 09.09.2024
№ 1094- Алгебра 8 класс Макарычев
⌚ 31.10.2025
IMG_1094
⌚ 26.03.2026
10999.mp4
⌚ 26.08.2024
№ 1094 - Математика 6 класс Мерзляк
⌚ 25.08.2024
25-48-1094
⌚ 11.01.2024
№ 1094 - Алгебра 7 класс Мерзляк
⌚ 29.10.2025
Сериал Санта Барбара 5 сезон 1094 серия/ Santa Barbara
⌚ 05.02.2026
IMG_1094
⌚ 05.03.2022
Русское лото 1094 тираж, Золотая подкова 4 тираж от 27 Сентября 2015
⌚ 01.10.2023
#1094. Тюнинг Луаз 969
⌚ 22.01.2017
Ночной эфир 1094 дня
⌚ 28.03.2026
10. 009
⌚ 27.10.2024
EEVblog #1094 - Casio FX260 Solar II Calculator Experiments
⌚ 08.02.2025
Պապայի Աղջիկները Մաս 104
⌚ 12.04.2024
№ 1094 - Математика 6 класс Мерзляк
⌚ 07.10.2023
1094.Натуральные камни.Рубеллиты&алмазы.
⌚ 15.08.2023
? Бактериально грибковый баланопостит. Клинический случай №1094
⌚ 21.04.2026
1000114314.mp4
⌚ 18.07.2025
КНИГА 1094 Мария Бишокова. Далёкий день (СПб.: ООО «Р-КОПИ», 2023)
⌚ 12.12.2023
Посвящение в первоклассники. ГБОУ СОШ № 1094 11"А" класс
⌚ 06.12.2025
😱10 ГОСТЕЙ на ДЕНЬ БЛАГОДАРЕНИЯ в 99 НОЧЕЙ в ЛЕСУ 99 Nights In The Forest в Роблокс
⌚ 11.01.2024
№ 1094 - Математика 5 класс Мерзляк
⌚ 11.12.2023
НЕЖНЕЙШИЙ ХОЛОДЕЦ ИЗ ПОТРОШКОВ! Выпуск №1094
⌚ 26.09.2025
104
⌚ 07.09.2024
109777
⌚ 20.04.2026
10999994.mp4
⌚ 02.11.2024
BA 1094 Double H Ot 23-27 Piter Monjaro Full
⌚ 17.10.2025
100 КОДОВ В 99 НОЧЕЙ В ЛЕСУ (Роблокс 99 Коды)
⌚ 07.06.2018
109
⌚ 21.01.2017
«Մերժվածը» սերիա 109
⌚ 21.01.2017
«Մերժվածը» սերիա 104
⌚ 14.03.2024
109
⌚ 04.03.2025
【着物リメイク】浴衣ワンピース作り方★型紙不要・直線簡単★ジグザグミシン・ロックミシン不要 109
⌚ 12.03.2024
104
⌚ 02.02.2025
#104 猫とジャムと読書とお昼寝わたしを慰めてくれるもの階段の手すり
⌚ 25.03.2025
104
⌚ 20.01.2025
104
⌚ 06.05.2024
Санта Барбара 1094
⌚ 24.03.2009
104
⌚ 07.01.2024
1094. Д.И. Трушин: От тёмной материи к тёмной энергии. Сколько мы не знаем об устройстве Вселенной
⌚ 20.03.2026
Construct M1y5 1094
⌚ 13.04.2023
109+ ...
⌚ 20.01.2026
10914.mp4
⌚ 27.04.2025
#1094. Поезда Чили (классное видео)
⌚ 05.05.2025
99 имен Аллаха
⌚ 11.08.2025
😱1000 НОЧЕЙ в ЛЕСУ 99 Nights In The Forest в Роблокс
⌚ 10.02.2025
Подборка САМЫХ "УМНЫХ" водителей #1094
⌚ 17.09.2024
1094 _ Прихожу к Тебе я
⌚ 20.12.2023
1099
⌚ 17.03.2023
ИЗОЛЕНТА Live #1094 | 17.03.23
⌚ 19.08.2025
(1094) Цыца и поездка в Кострому.
⌚ 11.01.2024
№ 1094- Алгебра 8 класс Макарычев
⌚ 23.05.2025
танец живота 1094
⌚ 28.08.2023
CSBSVNNQ Американские новости — выпуск #1094 от 28.08.2023
⌚ 07.10.2025
СЕКРЕТЫ 31.СЦЕНА 23(1094) June's Journey.
⌚ 14.11.2023
1094 ИЗНАЧАЛЬНОЕ - уйти чтобы вернуться
⌚ 02.11.2024
104
⌚ 24.08.2024
109
⌚ 25.01.2025
104
⌚ 27.12.2023
Последний звонок в школе 1094
⌚ 20.12.2023
Басков и ЛГБТ, Прощай, Вики! Парад физкультурников // Галопом по Европам #1094
⌚ 06.10.2025
СЕКРЕТЫ 31.СЦЕНА 14(1094) June's Journey.
⌚ 22.02.2025
АГОНИЯ УКРАИНЫ 1094 день | Почему Зеленский так разозлил Трампа?
⌚ 03.05.2024
109 -110
⌚ 08.04.2025
IMG_1094 Отличная квартира 6% Республики 35
⌚ 28.06.2025
№1094/ ОБЗОР орхидей в маг. ОРХИДЕЯ. СОРТОВЫЕ орхидеи на УЦЕНКЕ
⌚ 18.10.2024
109
⌚ 28.04.2025
109
⌚ 23.11.2024
Поём #песни | Ельский | 1094 #живойзвук #рок #голос #кавер #киш #ария #цой #кино #любэ
⌚ 11.01.2024
№ 1094- Математика 6 класс Зубарева
⌚ 25.04.2024
Задача номер 1110 (1094) по Математике 6 класс Виленкин
⌚ 10.12.2023
1094_Project ProShow Producer зима
⌚ 23.01.2025
99 имен Аллаха. 99 Nams Of Allah Tims . Продолжительность более часа
⌚ 07.03.2025
5-сынып математика. 1094 есеп
⌚ 22.02.2024
ДАРЮ ПП МЕНЮ НА ОДИН ДЕНЬ 1094 ККАЛ
⌚ 10.07.2024
104.mp4
⌚ 12.09.2024
Хотите купить стойку для болгарки? Стойка с протягом Sturm! 1094-AG-125
⌚ 13.01.2025
№ 1094 - Физика 7-9 класс Пёрышкин сборник задач
⌚ 16.08.2024
Выбирашки #1094
Сегодня смотрят:
109451
109482755
109428 индекс
109428, москва г, вязовский 2 й проезд нордвил
109440