H9O
.ru
Новые серии
Найти
1092 - видео
⌚ 04.06.2024
Ван-Пис 1092 серия (аниме-сериал, 1999)
⌚ 28.12.2023
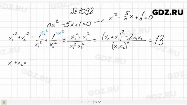
Задание № 1092 - Геометрия 9 класс (Атанасян)
⌚ 04.03.2026
1092 Я Их всётаки Купила. Варю Харчо.Шок. Цветы к 8 марта.Спасибо за советы.
⌚ 24.02.2026
1092 Наша жизнь после переезда/Небольшой обзор хутора Гавердовского Адыгея
⌚ 13.03.2026
1092.mp4
⌚ 11.01.2024
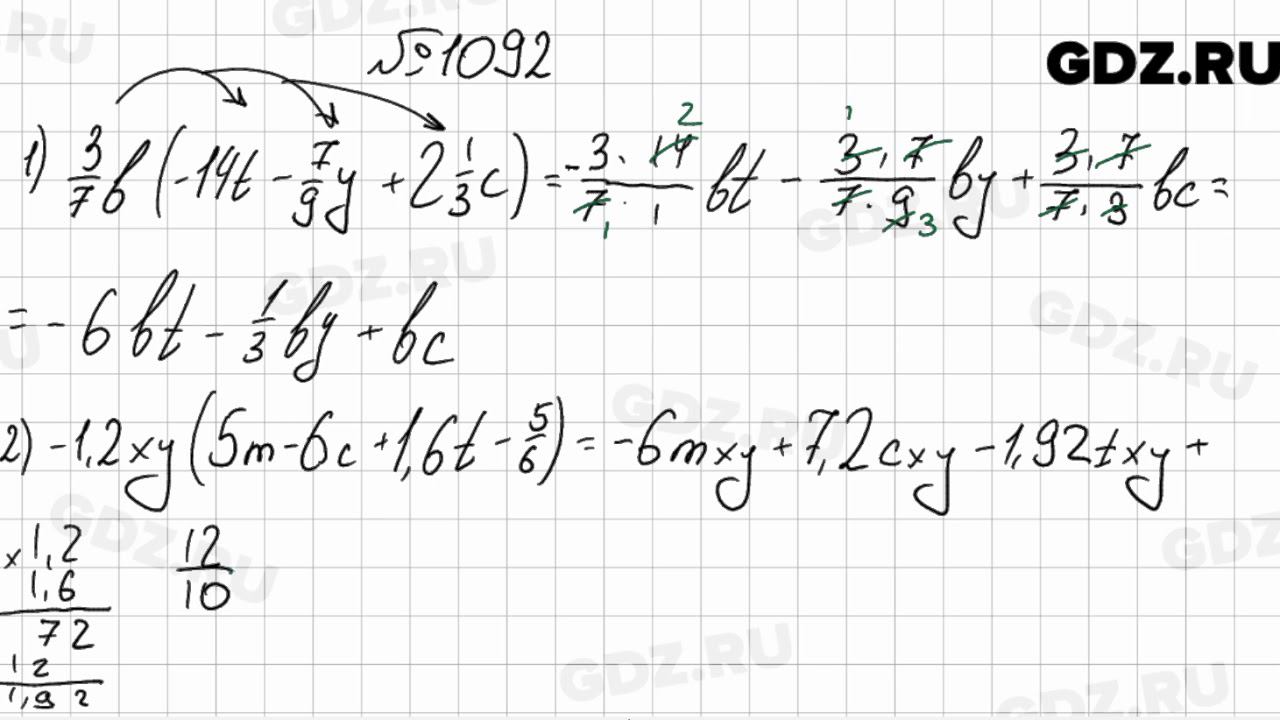
№ 1092- Алгебра 7 класс Макарычев
⌚ 03.03.2026
#смешныевидео -1092
⌚ 06.04.2026
Мир Домовят 1092 и 1093 уровень три в ряд. Сказочная игра для всей семьи)
⌚ 24.09.2024
1092
⌚ 18.10.2025
IMG_1092
⌚ 30.03.2026
1001092914.mp4
⌚ 16.05.2025
1092 прав
⌚ 16.08.2019
Дом-2. Остров любви, 1 сезон, 1092 серия (16.08.2019)
⌚ 24.09.2023
Стойка для дрели Sturm! 1092-ID-02. Тестируем в работе.
⌚ 09.09.2024
№ 1092- Алгебра 8 класс Макарычев
⌚ 20.03.2026
1092.mp4
⌚ 24.02.2024
Автомагнитола Pioneer 1092
⌚ 11.01.2024
№ 1092 - Математика 6 класс Мерзляк
⌚ 28.12.2023
№ 1092 - Геометрия 7-9 класс Атанасян
⌚ 01.09.2024
10928.mp4
⌚ 22.01.2017
Ночной эфир 1092 дня
⌚ 29.10.2025
Сериал Санта Барбара 5 сезон 1092 серия/ Santa Barbara
⌚ 27.12.2023
№1092 Царь царей,Господь господ | Песнь Возрождения
⌚ 17.02.2024
НОВЕНЬКИЙ ПРИКИД || Ван Пис 1092 серия || Реакция на аниме
⌚ 10.07.2024
World Of Warplanes - Me P.1092 | Good To Great
⌚ 06.12.2024
№1092: ЗАПОЛУЧИЛ ПОРТАЛЬНУЮ ПУШКУ В ПОРТАЛ(PORTAL) #1
⌚ 20.12.2023
Автомагнитола Pioneer 1092 в продаже RIO-V.biz
⌚ 09.10.2023
Playing 1092 Paradise Game
⌚ 12.05.2025
Паровая швабра Kitfort KT-1092
⌚ 06.12.2023
SCP 1092 RU: Тесьма плетеного письма
⌚ 15.04.2024
Royal Match # 1091 • 1092 ✔ Железнодорожная станция
⌚ 19.03.2024
SCP 1092 RU Тесьма плетёного письма
⌚ 11.01.2024
№ 1092- Математика 5 класс Виленкин
⌚ 07.06.2024
Жди Меня 11.09.2020
⌚ 17.08.2025
(1092) Лиса приходит в гости. Август 2025
⌚ 06.02.2025
Подборка САМЫХ "УМНЫХ" водителей #1092
⌚ 07.09.2024
часы Штурм 1092.3.342
⌚ 27.12.2023
Размышления - Слово стало плотью (1092) 12.06.2023
⌚ 20.02.2025
«Открытый эфир» о специальной военной операции в Донбассе. День 1092
⌚ 20.02.2025
"Открытый эфир" о специальной военной операции в Донбассе. День 1092
⌚ 14.03.2023
ИЗОЛЕНТА Live #1092 | Ход СВО | Окружение Артемовска |Влияние Запада на решения Зеленского |15.03.23
⌚ 11.05.2024
1092
⌚ 26.08.2024
№ 1092 - Математика 6 класс Мерзляк
⌚ 21.11.2024
Поём #песни | Ельский | 1092 #живойзвук #рок #голос #кавер #киш #ария #цой #кино #любэ
⌚ 02.10.2024
708 №1092 12 04 2024
⌚ 12.11.2023
1092 Воскресенье.Читаем Библию.
⌚ 18.12.2023
Жучки Залужного, Путин и колбаса, Террорист Акунин // Галопом по Европам #1092
⌚ 21.05.2025
Пресс подборщик Feraboli Extreme 265 N 1092
⌚ 21.09.2024
109280
⌚ 18.06.2025
№1092/ СВЕЖИЕ шикарные ОРХИДЕИ в маг. ОРХИДЕЯ
⌚ 09.09.2024
ПОТЕРЯННОЕ СРАЖЕНИЕ | Vs Synq88 | 1-3-56 СЕЗОН | ВЕЛИКАЯ АРЕНА 5х5 | SWGOH #1092
⌚ 05.03.2022
Русское лото 1092 тираж, Золотая подкова тираж от 13 Сентября 2015
⌚ 21.11.2023
ВКУСНЕЙШИЙ КРОЛИК в ДУХОВКЕ! Выпуск №1092
⌚ 25.08.2023
CSBSVNNQ Американские новости — выпуск #1092 от 25.08.2023
⌚ 29.06.2025
Трамвай Tatra T3SU-1092. Покатушки по Барнаулу.
⌚ 12.01.2024
#1092. ВАЗ 1111 Ока на разварках [Авто подборка]
⌚ 22.08.2023
Негабарит 116rus /// Последний день 2022 года... $1092
⌚ 30.09.2023
Серия 1092 ➤ Destiny Project | Livonia PVE, обзор ➤ #DestinyProjectPVE #DayZ
⌚ 14.08.2024
Выбирашки #1092 Класный лук
⌚ 17.03.2024
1001092848.mp4
⌚ 20.03.2026
10921302
⌚ 09.02.2025
СПЛОТКА ст. Рассоленко, СвЖД, сплотка тепловозов 2ТЭ116-1539 и ТЭМ18ДМ-1092 ЗУЖД •2025
⌚ 12.10.2024
코인 선물 4일 만에 시드 10배, 수익률 928% 달성한 매매기법 공개합니다. 초보도 할 수 있는 쉬운 방법
⌚ 07.01.2024
1092. А.М. Дымшиц: Путь в геологию: художественная гимнастика, МГУ, Япония и сибирская наука
⌚ 23.05.2025
танец живота 1092
⌚ 24.09.2023
1091, 1092 Математика 6 класс. Вычитание Отрицательных чисел. Решаем уравнения.
⌚ 02.09.2025
Нарезка со стрима #1092 | Minecraft
⌚ 04.01.2024
GreenBean UltraPanel 1092 LED
⌚ 19.08.2024
Сцена 1092 June's Journey на русском.
⌚ 11.01.2024
Виленкин, Математика, 6 класс, задача 1092
⌚ 17.10.2024
№1092 О лечении Б.Паркинсона, Панических атак и С-ма хронической усталости Методом RANC в Краснодаре
⌚ 17.03.2025
PublicPickup Ep 1092__Interview With She
⌚ 01.06.2022
1092 Жемчужные или перламутровые папулы
⌚ 22.02.2026
1000010928.mp4
⌚ 06.05.2024
Санта Барбара 1092
⌚ 09.07.2023
Черепашки-Ниндзя: Легенды #1092 ЖДУ РАФАЭЛЯ ?
⌚ 06.12.2023
Помидор - наемный полевой AX1LL | 1092 ЭЛО НА Х
⌚ 22.08.2024
1092. Жду гостей.Окрошка.
⌚ 02.10.2023
ТЮНИНГ MASERATI MC12 1092 HP - Forza Horizon 2
⌚ 20.10.2024
#1092 НОВЫЙ ЗИЛ 130 NEXT АВТОБЛОГ 2014
⌚ 02.02.2024
Bomann ZP 1092 CB Citrus Juicer
⌚ 18.07.2025
КНИГА 1092 Мария Груздева. Яблокоград (СПб.: Издательство «НИЦ АРТ», 2025)
⌚ 18.09.2025
Мини фильм опыт 1092 годзила
⌚ 14.04.2024
Заявка 1092. Екатерина Забелина МАУДО Рефтинская ДШИ - «Ухарь-купец»
⌚ 01.03.2025
Бутлег VS Оригинал | Nendoroid Emma 1092
⌚ 17.11.2024
Nendoroid Emma 1092: Быстрая распаковка на аниме фигурки.
⌚ 03.04.2024
Планета самоцветов 1092 уровень прохождение планета самоцветов обновление.
⌚ 04.04.2025
Чёрная Борода Vs Ло | Появление Пиратов! | Ван Пис 1092 | OST Эпичная Кавер-Версия
⌚ 15.11.2023
Чудотворная икона Богородицы Дивногорская (Сицилийская) (1092).
⌚ 20.12.2023
Rotel RDV-1092 Ремонт DVD
⌚ 09.12.2025
Личное дело №1092 — Данил Смирнов, Xinming. Как все "пересели" на Китай
⌚ 04.03.2025
【着物リメイク】浴衣ワンピース作り方★型紙不要・直線簡単★ジグザグミシン・ロックミシン不要 109
⌚ 14.03.2024
109
⌚ 07.06.2018
109
⌚ 03.05.2024
109 -110
⌚ 21.01.2017
«Մերժվածը» սերիա 109
⌚ 13.04.2023
109+ ...
⌚ 29.03.2026
9210.mp4
⌚ 15.01.2024
Завдом Шале-баня №1092
Сегодня смотрят:
10929?
109235 адрес
1092н
10923 кроссовки зебра синие
1092223008943