H9O
.ru
Новые серии
Найти
Glamorous Goddess
⌚ 04.06.2025
Бой Майка Тайсона
⌚ 04.06.2025
Гольф 7 , после замены пружин задних , 05.03.25 г
⌚ 17.05.2025
НОВАЯ ВОДОЛАЗКА?! Стоит ли выбивать ???? ДА ?#рекомендаци
⌚ 17.05.2025
Турецкая одежда Большие размеры❗️СКИДКИ ❗️ +7 983 205-75-
⌚ 17.05.2025
ДОБЫВАЕМ СЕКРЕТНЫЙ КОСТЮМ ДОКТОРА В МЕТЕЛИ (и да снова
⌚ 17.05.2025
Сменил погоны на костюм | В команде Лукашенко нет слаб?
⌚ 17.05.2025
пожарная безопасность Климентьева
⌚ 17.05.2025
Карнавал в Солотурне. Швейцария.
⌚ 17.05.2025
Получаю маску Кролика и костюм Доктора + БАГ | Metel - Horror E
⌚ 17.05.2025
Кроссовки нубук экокожа с зелеными ставками
⌚ 17.05.2025
В МОКРОМ БЕЛЬЕ ВЕРНУЛАСЬ К ЖЕНИХУ. Истории из жизни. Ау
⌚ 17.05.2025
ХУДОЖЕСТВЕННАЯ ГИМНАСТИКА 2025 🔥 Соревнования по гимн?
⌚ 17.05.2025
бомбер для фигурного катания голубой
⌚ 17.05.2025
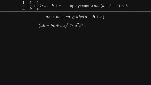
Неравенства №11. Симметрическое неравенство четверто?
⌚ 17.05.2025
Женская красивая стильная одежда Платья Стиль-Мода
⌚ 17.05.2025
куртки женские демисезонные украина
⌚ 17.05.2025
T-shirts TOMMY HILFIGER Polo 6, Цена за ед.: 14.04 сток одежда оптом
⌚ 17.05.2025
НРАВИТСЯ ФУТБОЛКА?? ЕЁ МОЖНО ЗАКАЗАТЬ В ТГ В ПРОФИЛЕ 🤟
⌚ 17.05.2025
Naraka (Вечность) 2024-07-28 18-14-38.Закрытый ивент и шапка для Ку
⌚ 17.05.2025
Узор для шапки , манишки. Объёмный узор.