H9O
.ru
Новые серии
Найти
Representation Theory Revelries
⌚ 28.01.2025
Electricidad Y Magnetismo 1. Fs321 # 29: Ejemplo Stokes Esféricas.
⌚ 28.01.2025
Критерий Сильвестра. Вопросы
⌚ 28.01.2025
Обучение Геометрии материал 7 класса Ученик 9класса
⌚ 28.01.2025
What’s The Difference Between Definitions, Axioms, Theorems, And Corollaries?! #shorts #mathshorts
⌚ 28.01.2025
Physics : Parallel Axis Theorem
⌚ 28.01.2025
Video1971721907
⌚ 26.01.2025
500 Magnum 8 Inch Barrel Vs. 7up Bottle With Water
⌚ 26.01.2025
Micron Launches Memory Expansion Module Portfolio To Accelerate CXL 2 0 Adoption
⌚ 26.01.2025
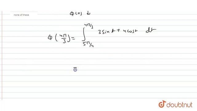
The Least Value Of The Function `phi(x)=int_(5pi//4)^(x) (3sin T+4 Cos T)dt` On The Int
⌚ 26.01.2025
How To Configure Power Over Ethernet With Anybus Managed L2 PoE Switch
⌚ 26.01.2025
Туз,Яна ел бураны. Яхъя Фасхиев кое.М.Манихова суз
⌚ 26.01.2025
20 Second Countdown Timer (Tick Tock Sound)
⌚ 26.01.2025
This Was Fun Lol Fake Sports Segment
⌚ 26.01.2025
Integration By Substitution - Part 1
⌚ 26.01.2025
мине перестройка и поставка ресов Dyson Sphere Program
⌚ 26.01.2025
Option Margin
⌚ 26.01.2025
Graphing A Parabola Using A Translation
⌚ 26.01.2025
Пендаровски и Заев само со порака на Фејсбук за денот на раѓањето на Гоце Делчев
⌚ 26.01.2025
Алгебра. 9 клас. Числові проміжки
⌚ 26.01.2025
Alg 2: Lesson 21 (Mult And Add Poly)