H9O
.ru
Новые серии
Найти
Problèmes insolubles
⌚ 28.01.2025
Доказательство теоремы Пифагора.
⌚ 28.01.2025
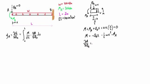
Castigliano's Theorem Example #2: Deflection Using A Dummy Load
⌚ 28.01.2025
Geometría - Cap. 02 [ÁNGULOS]
⌚ 28.01.2025
Готовлю помощь людям// Вторая иммунотерапия
⌚ 28.01.2025
При съемках данного видео никто не пострадал! Реквизит-подушка! Пошла учить таблицу умножения #минс
⌚ 26.01.2025
Нальчикский автобус | Маршрут 33
⌚ 26.01.2025
Isometric Design In Adobe Illustrator CC
⌚ 26.01.2025
Class 7 Maths Chapter 6 Mcq 5 #shorts
⌚ 26.01.2025
Tangente De 15° Sin Calculadora
⌚ 26.01.2025
Отзыв. 369500 руб. в психологии с нуля
⌚ 26.01.2025
1-сынып Қызықты математика 19-сабақ
⌚ 26.01.2025
В Орловской области повышают производительность труда
⌚ 26.01.2025
ASCS CENTER POINT IBRAHIMS GROUP PDS 2019
⌚ 26.01.2025
Мустяцэ уволе. Кабмин одобрил запрос, АПС возглавит Роман Кожухарь
⌚ 26.01.2025
М/ф "Пожарная машина". Добромир Машуков, музыка "Анимашка Познавашка".
⌚ 26.01.2025
П. Чайковский . Симфония №5 , часть 4 финал
⌚ 26.01.2025
Geometry Dash V1.5 Level 2 Back On Track Complete
⌚ 26.01.2025
Uwaruzwi Nku Mu Camera Mn Wa Seka Tv Ngo Nawe Ajyiy Kuzajy Agaragar Muri Cedru Comedy Iyumvire Nawe
⌚ 26.01.2025
12-тақырып.Квадрат теңдеулер арқылы мәтінді есептерді шығару.1-мысал.
⌚ 26.01.2025
Versa Compact Hand-Held Thermal Sealer On QVC