H9O
.ru
Новые серии
Найти
Android Mastermind
⌚ 24.10.2024
GARDENSCAPES NEW ACRES STORY Walkthrough Gameplay Part 32 - Day 25 (iOS Android)
⌚ 24.10.2024
SuperTux 0.4.0rubberducks Levels-Part.23-Eiskalt
⌚ 24.10.2024
TextArt 4.3.7 Premium All Unlocked
⌚ 24.10.2024
The King Of Fighters 98 Con Personajes Ocultos, Para Android, Fba4 Droid
⌚ 24.10.2024
Como ESCUTAR SPOTIFY Sem INTERNET (OFFLINE)
⌚ 24.10.2024
NOVIDADES Do MY SUMMER CAR Para ANDROID!!! (My Swallow Car)
⌚ 24.10.2024
INOVA Android 4.4 6" Unlocked 3G Smartphone GSM 8GB Quad Core 1GB RAM - Black | Review/Test
⌚ 24.10.2024
GTA SAMP Mods Nissan GTR Dff Only
⌚ 24.10.2024
Redmi 9T Frp Bypass WithOut PC | Miui 12.5 Android 11 | No Second Space
⌚ 24.10.2024
Samsung A03 Frp Unlock By Umt Dongle Android 13 2023 || Samsung A03 Frp Unlock Umt 2023 Latest
⌚ 24.10.2024
The LEGO Movie Videogame SHIELD Hub On Nvidia Shield Tablet (Android)
⌚ 24.10.2024
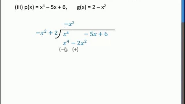
Divide P(x) = X^4 – 5x + 6 By G(x) = 2 – X^2 (and Find Remainder) - Teachoo
⌚ 24.10.2024
Top 7 Addon Khủng Long đáng Chơi, Hay Nhất Dành Cho Minecraft PE (1.17.41 - 1.20) !!!
⌚ 24.10.2024
Detailed Information About Runbo Q5S
⌚ 23.10.2024
Cara Ampuh Membuka Data WhatsApp Yang Kedaluwarsa
⌚ 23.10.2024
Five Nights At Freddy's 4 Demo - Free Download! | Download FNaF4 Free
⌚ 23.10.2024
Police Car Chase Cop Driving Simulator - Extreme Driving Car Racing - Android Gameplay
⌚ 23.10.2024
Pixellab Tutorial - Modern Logo Design Tutorial On Android Pixellab
⌚ 23.10.2024
Homemade Dog Food Recipe! [Cured My Dog's Allergies]
⌚ 23.10.2024
【今日のFAQ】2023年の投資戦略、つみたてNISA以外行わず、新NISAのために預金で取っておくべきか迷います。【楽天証券 トウシル】