H9O
.ru
Новые серии
Найти
Радостные впечатления
⌚ 03.05.2024
Видео с веб-камеры. Дата: 1 октября 2012 г., 17:07.
⌚ 03.05.2024
за сколько минут я сделал это интро?Ответ в описании!
⌚ 03.05.2024
ПРЕДАТЕЛЬСТВО | Stray #14
⌚ 03.05.2024
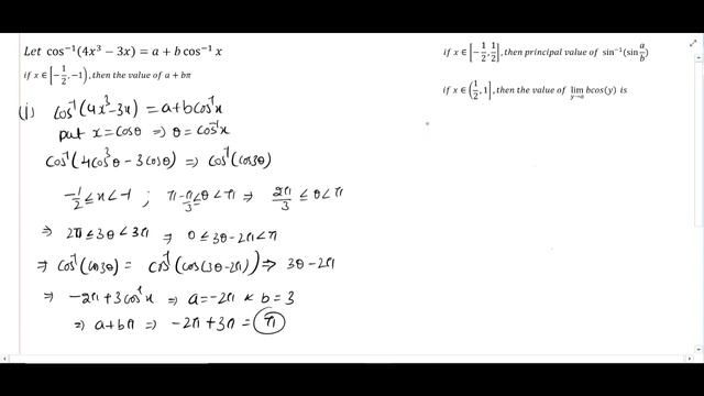
Let Cos^-1(4x^3-3x) = A+bCos^-1(x)
⌚ 03.05.2024
TCP 17W PAR38 LED Flood Bulb (LED17P38D41KNFL)
⌚ 03.05.2024
29/01/2017 – Hipodromo Maroñas – Carr 2 – MIA MIA (2006)
⌚ 03.05.2024
Делаем огромный слайм. Сделали 1 кг слайма
⌚ 03.05.2024
Os Melhores Momentos Paniconatv 29-01-2006 (05)
⌚ 03.05.2024
СПАСЛИ СЕМЬЮ БАНАНА | My Friend Pedro: Ripe For Revenge Прохождение #5 (Финал)
⌚ 03.05.2024
Часть 31.4 - Идеальная жена (Психологический триллер...
⌚ 03.05.2024
Detroit: Become Human | Прохождение на Платину | Этап 19 - Глава 19 | Клуб "Рай"
⌚ 03.05.2024
ВЕРТИКАЛЬНЫЙ ВЫЗОВ 4 - 2019
⌚ 03.05.2024
Электрические лифты V=1 м/с, гр/п 400 кг
⌚ 03.05.2024
Вдохновение
⌚ 03.05.2024
Прохождение Batman The Telltale Series Серия 5 Финал 1 эпизода | Царство Теней.
⌚ 03.05.2024
Как посмотреть сколько у тебя подписчиков в реальное время.
⌚ 03.05.2024
Кв Point Blank {Daring*Master} By DM*Wild*Patriot RuPB, люкс #17
⌚ 03.05.2024
Metro Exodus: RTX 2070 - I7 4790K (Extreme Settings RTX ON) 1080p & 1440p
⌚ 03.05.2024
FIFA 22. Милан - РБ Лейпциг. Суперкубок Европы
⌚ 03.05.2024
Разминка: видео