H9O
.ru
Новые серии
Найти
Школьные теоремы во всех деталях
⌚ 30.12.2023
ЭУП "Решение биологических задач" 10 класс
⌚ 30.12.2023
Песни о любимом городе
⌚ 30.12.2023
Кітап және ақша / Kitapal Podcast #9
⌚ 30.12.2023
(mashup) Theory Of Everything 4.5 -- Toe 4 X 5
⌚ 30.12.2023
08.11.23 Энергосбыт - Армата (Дивизион А)
⌚ 30.12.2023
Що почитати лікарю: лапароскопічна хірургія
⌚ 30.12.2023
Культовая группа бредор (online Video Cutter Com)
⌚ 30.12.2023
Задача №9 ОГЭ. Теория вероятностей. №4 профильного ЕГЭ, №10 базового ЕГЭ
⌚ 30.12.2023
Lecture 04: Caratheodory Theorem
⌚ 30.12.2023
9клас. Квадратична функція та її графік ч1
⌚ 30.12.2023
10 Сложение и вычитание рациональных дробей с разными знаменателями Алгебра 8кл Мерзляк#116
⌚ 30.12.2023
Без боли интегрировать по частям много раз.
⌚ 30.12.2023
С.Ю. Немировский. Красное смещение и контактные формы
⌚ 30.12.2023
Electrical Engineering: Ch 4: Circuit Theorems (21 Of 35) Norton's Theorem Summarized
⌚ 30.12.2023
Алгебра 3 Городенцев
⌚ 30.12.2023
Bernoulli's Equation
⌚ 30.12.2023
Физика фанидан 12 маъруза
⌚ 30.12.2023
Willson Theorem Exapmles | Problem #1 | Number Theory
⌚ 30.12.2023
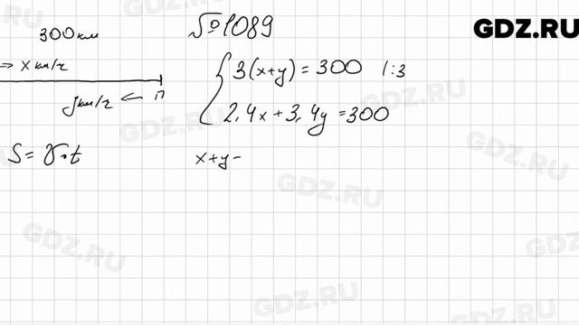
№ 1089 - Алгебра 7 класс Мерзляк
⌚ 30.12.2023
Определите X1, Х2 и Хз по приведенной схеме